Minggu, 15 Januari 2023

[37+] Gace Middle Grades Math Practice Test, GACE Middle Grades Math Practice Test And Prep

Gace Middle Grades Math Practice Test Numbers Comparing

Numbers comparing

Domain i rica practice questions. Mathematics grades middle study guide isbn prep test gace practice questions. Free101.com provides math practice questions from grades pre-k to 5. Gace middle grades math practice test and prep

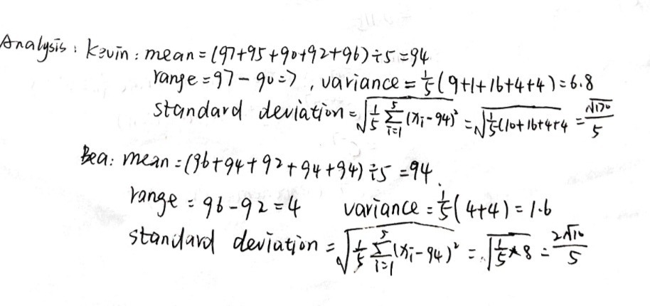
A. Two students have the following grades in five - Gauthmath

A. Two students have the following grades in five - Gauthmath

GACE Middle Grades Math Practice Test and Prep

GACE Middle Grades Math Practice Test and Prep

Free101.com provides math practice questions from grades Pre-K to 5

Free101.com provides math practice questions from grades Pre-K to 5

What is the Product in Math? - Definition & Overview - Video & Lesson

What is the Product in Math? - Definition & Overview - Video & Lesson

GACE Middle Grades Social Science (015): Practice & Study Guide Course

GACE Middle Grades Social Science (015): Practice & Study Guide Course

Tidak ada komentar:

Posting Komentar